霍夫曼树

树的带权路径长度

设二叉树具有 n 个带权叶结点,从根结点到各叶结点的路径长度与相应叶节点权值的乘积之和称为 树的带权路径长度(Weighted Path Length of Tree,WPL)

w_i 为二叉树地 i 个叶结点的权值, l_i 为从根结点到第 i 个叶结点的路径长度,则 WPL 计算公式如下:

WPL=\sum_{i=1}^nw_il_i

如上图所示,其 WPL 计算过程与结果如下:

WPL=2*2+3*2+4*2+7*2=4+6+8+14=32

结构

对于给定一组具有确定权值的叶结点,可以构造出不同的二叉树,其中,WPL 最小的二叉树 称为 霍夫曼树(Huffman Tree)

对于霍夫曼树来说,其叶结点权值越小,离根越远,叶结点权值越大,离根越近,此外其仅有叶结点的度为 0 ,其他结点度均为 2

霍夫曼算法

霍夫曼算法用于构造一棵霍夫曼树,算法步骤如下:

  1. 初始化:由给定的 n 个权值构造 n 棵只有一个根节点的二叉树,得到一个二叉树集合 F
  2. 选取与合并:从二叉树集合 F 中选取根节点权值 最小的两棵 二叉树分别作为左右子树构造一棵新的二叉树,这棵新二叉树的根节点的权值为其左、右子树根结点的权值和。
  3. 删除与加入:从 F 中删除作为左、右子树的两棵二叉树,并将新建立的二叉树加入到 F 中。
  4. 重复 2、3 步,当集合中只剩下一棵二叉树时,这棵二叉树就是霍夫曼树。

霍夫曼编码

在进行程序设计时,通常给每一个字符标记一个单独的代码来表示一组字符,即 编码

在进行二进制编码时,假设所有的代码都等长,那么表示 n 个不同的字符需要 \left \lceil \log_2 n \right \rceil 位,称为 等长编码

如果每个字符的 使用频率相等,那么等长编码无疑是空间效率最高的编码方法,而如果字符出现的频率不同,则可以让频率高的字符采用尽可能短的编码,频率低的字符采用尽可能长的编码,来构造出一种 不等长编码,从而获得更好的空间效率。

在设计不等长编码时,要考虑解码的唯一性,如果一组编码中任一编码都不是其他任何一个编码的前缀,那么称这组编码为 前缀编码,其保证了编码被解码时的唯一性。

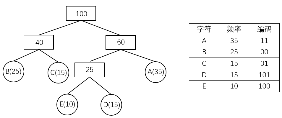
霍夫曼树可用于构造 最短的前缀编码,即 霍夫曼编码(Huffman Code),其构造步骤如下:

  1. 设需要编码的字符集为: d_1,d_2,\dots,d_n ,他们在字符串中出现的频率为: w_1,w_2,\dots,w_n
  2. d_1,d_2,\dots,d_n 作为叶结点, w_1,w_2,\dots,w_n 作为叶结点的权值,构造一棵霍夫曼树。
  3. 规定哈夫曼编码树的左分支代表 0 ,右分支代表 1 ,则从根结点到每个叶结点所经过的路径组成的 0 1 序列即为该叶结点对应字符的编码。

示例代码

霍夫曼树的构建
 1
 2
 3
 4
 5
 6
 7
 8
 9
10
11
12
13
14
15
16
17
18
19
20
21
22
23
24
25
26
27
28
29
30
31
32
33
34
35
36
37
38
39
40
41
42
43
44
45
46
47
48
49
50
51
typedef struct HNode {
  int weight;
  HNode *lchild, *rchild;
} * Htree;

Htree createHuffmanTree(int arr[], int n) {
  Htree forest[N];
  Htree root = NULL;
  for (int i = 0; i < n; i++) {  // 将所有点存入森林
    Htree temp;
    temp = (Htree)malloc(sizeof(HNode));
    temp->weight = arr[i];
    temp->lchild = temp->rchild = NULL;
    forest[i] = temp;
  }

  for (int i = 1; i < n; i++) {  // n-1 次循环建哈夫曼树
    int minn = -1, minnSub;  // minn 为最小值树根下标,minnsub 为次小值树根下标
    for (int j = 0; j < n; j++) {
      if (forest[j] != NULL && minn == -1) {
        minn = j;
        continue;
      }
      if (forest[j] != NULL) {
        minnSub = j;
        break;
      }
    }

    for (int j = minnSub; j < n; j++) {  // 根据 minn 与 minnSub 赋值
      if (forest[j] != NULL) {
        if (forest[j]->weight < forest[minn]->weight) {
          minnSub = minn;
          minn = j;
        } else if (forest[j]->weight < forest[minnSub]->weight) {
          minnSub = j;
        }
      }
    }

    // 建新树
    root = (Htree)malloc(sizeof(HNode));
    root->weight = forest[minn]->weight + forest[minnSub]->weight;
    root->lchild = forest[minn];
    root->rchild = forest[minnSub];

    forest[minn] = root;     // 指向新树的指针赋给 minn 位置
    forest[minnSub] = NULL;  // minnSub 位置为空
  }
  return root;
}
计算构成霍夫曼树的 WPL
 1
 2
 3
 4
 5
 6
 7
 8
 9
10
11
12
13
14
15
16
17
18
typedef struct HNode {
  int weight;
  HNode *lchild, *rchild;
} * Htree;

int getWPL(Htree root, int len) {  // 递归实现,对于已经建好的霍夫曼树,求 WPL
  if (root == NULL)
    return 0;
  else {
    if (root->lchild == NULL && root->rchild == NULL)  // 叶节点
      return root->weight * len;
    else {
      int left = getWPL(root->lchild, len + 1);
      int right = getWPL(root->rchild, len + 1);
      return left + right;
    }
  }
}
对于未建好的霍夫曼树,直接求其 WPL
 1
 2
 3
 4
 5
 6
 7
 8
 9
10
11
12
13
14
15
16
int getWPL(int arr[], int n) {  // 对于未建好的霍夫曼树,直接求其 WPL
  priority_queue<int, vector<int>, greater<int>> huffman;  // 小根堆
  for (int i = 0; i < n; i++) huffman.push(arr[i]);

  int res = 0;
  for (int i = 0; i < n - 1; i++) {
    int x = huffman.top();
    huffman.pop();
    int y = huffman.top();
    huffman.pop();
    int temp = x + y;
    res += temp;
    huffman.push(temp);
  }
  return res;
}
对于给定序列,计算霍夫曼编码
 1
 2
 3
 4
 5
 6
 7
 8
 9
10
11
12
13
14
15
16
17
18
19
typedef struct HNode {
  int weight;
  HNode *lchild, *rchild;
} * Htree;

void huffmanCoding(Htree root, int len, int arr[]) {  // 计算霍夫曼编码
  if (root != NULL) {
    if (root->lchild == NULL && root->rchild == NULL) {
      printf("结点为 %d 的字符的编码为: ", root->weight);
      for (int i = 0; i < len; i++) printf("%d", arr[i]);
      printf("\n");
    } else {
      arr[len] = 0;
      huffmanCoding(root->lchild, len + 1, arr);
      arr[len] = 1;
      huffmanCoding(root->rchild, len + 1, arr);
    }
  }
}

评论